【人耳的听觉生理原理】

耳外空气振动——》外耳道空气振动放大——》骨膜振动——》鼓膜与耳蜗连接骨头振动——》耳蜗神经信号
人类是否能够听到声音完全取决于鼓膜与耳蜗连接的骨头能否振动并且引起耳蜗神经反应
于是存在两种声音感知途径,一种通过耳外空气振动产生,另一种通过头骨振动带动鼓膜与耳蜗振动产生
人耳听觉范围在20-20000HZ(https://zh.wikipedia.org/zh-cn/%E8%80%B3%E8%9C%97),也就是说这些频率都是可以带动鼓膜与耳蜗连接骨头振动的,通过正常空气鼓膜传导依据ISO226:2003表述,正常人以40db,1000HZ为阀值标准。
但骨传导即直接通过头骨传导至耳蜗神经的声音振动来讲,对于人类头骨的共振频率大约在300HZ或更低(https://www.nature.com/articles/s41598-023-32307-y),
人耳可以引起的最小能量级别也就是鼓膜与耳蜗之间骨头的共振频率(骨传导),以15db,250HZ为标准(https://www.ncbi.nlm.nih.gov/books/NBK578177/),但不能以传统的ISO226:2003的阀值为标准,也就是说骨传导的声音远比同频率下的正常声音要低,正常情况下是不可能通过鼓膜来感觉的。
对于使用250HZ为音源的声音,由于该频率处于绝大多数刚性结构材料的共振频率,那么普通厚度材料没有办法阻挡其一个方向的传播,一般来讲其传播必定为球状传播,也就是说音源房间内的人员肯定是可以听到的。

【声音能量传播中的透射与反射】
声音在通过不同介质的时候必然要存在透射和反射两种现象,这时候我们需要使用声阻抗来评估两种介质间声音的传播,当两种介质阻抗基本一致的时候,透射声音大于反射;当两种介质的声阻抗不一致的时候,反射远大于透射。
我们评估室内建材的声阻抗发现:
空气:0.0004z
玻璃:11.6z
混凝土:8.06z
也就是说如果你想向没有音源的另一个房间投射声音就必须通过至少两个介质玻璃到空气,混凝土到空气;如果是直接通过另外一个房间的空气传声再到另外一个房间的话,那么要至少三个介质,空气到玻璃到空气,或者空气到混凝土到空气。无论那种方式,都将是折射远大于透射,声音的绝大部分能量要么被音源房间的人吸收,要么被墙体或者玻璃吸收。(https://www.omnicalculator.com/physics/acoustic-impedance#what-is-acoustic-impedance)
那么

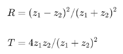
玻璃到空气:R=1,T=0.00013;也就说反射能量将是透射能量的7692倍
混凝土到空气:R=1,T=0.00019;也就说反射能量将是透射能量的5263倍
那么如果音源贴着墙体或者玻璃传播,那么建筑物结构严重损坏
如果是直接在另外一个房间内正常播放传入另外一个房间的话,那么音源房间内的人员将吸收几乎全部的能量,这个能量足以振动墙体和玻璃,如果使用墙体和玻璃的共振频率,需要的能量略小但反射绝对远大于透射。

【透射声音能量与需要入射声音能量】,

按照40HZ以下的混凝土共振频率,这种也属于骨传导频率,声强可以按照15db以下计算,声压P1为0.000112468Pa
T取混凝土到空气,0.00019
则入射最小声压P0=0.5919 Pa,相当于85-90db。这种频率下由于实在混凝土介质中传导,我们耳朵无法听到,不过不要把脑袋贴着墙。此时声源如果是紧贴墙壁的那么房间内听到的声音也应属于透射,也就说墙两端的空气中的声音强度基本一致,但不可能在其他邻居家隔着两道以上墙壁。
如果按照空气到水泥墙到空气的传播,这种方式P0=985.207Pa,相当于153db,人耳是完全要被疼得受不了的,因此这种方式是不可能的。也就说室外进入房间的声音是完全不可能的。
如果按照人耳最敏感的2000到3000hz来计算,1000HZ,40db,P1=0.002Pa;P0=10.52Pa,相当于114db的严重噪声,室外极易查找,要比汽车喇叭略强。因此也是不可能长时间存在室外的。

【结论】
长时间居家干扰的神经技术广播只可能是采用250HZ以下频率,直接贴在墙或者地板屋顶直接透射过来的,只有一道水泥墙的位置才是可能的。但同时因为声音绝大部分都成为墙内折射能量,墙内的水管、电缆管以及墙体密性必将受到严重损害。
由于车中发现在停车期间可以闻及旁边的车辆声音,本人将继续从能量损耗的角度进行进一步解释,但继续坚持室内5年不间断声音源自贴身邻居,目前家中干扰依旧强烈,本人需要较长时间完成分析,所有最终责任将依据警方侦破情况确定,目前本人不惧相关威胁同时坚持司法解决自2020年的历史问题。
本人历史居家生活情况见链接:https://zeyarna.blog/2024/08/08/%e5%a5%a5%e6%9e%97%e5%8c%b9%e5%85%8b%e8%8a%b1%e5%9b%ad56%e5%8f%b7303%e5%ae%a4%e4%b8%9a%e4%b8%bb%e5%8f%8a113%e5%8f%b7802%e5%ae%a4%e7%a7%9f%e6%88%b7%e5%90%91%e5%b0%8f%e5%8c%ba%e5%b1%85%e6%b0%91%e5%be%81/,自2021年下半年逐渐基本完全居家隔离生活

【补充】
如果存在隔墙监听和录音的话,那么对于目前市面绝大多数器材,均是分频监听,人的正常发音在1000-3000HZ, 对于传入的声音为200HZ以内,无法同时监听,除非你能够直接获取相关音源。

【补充分析】
自10月1日,室外驾车时发现可以听见旁边人声和车辆声音,出于对于邻居负责的态度,打算重新进行分析。但在至5日的四天内,居家遭到高强度的声音干扰,至今天我翻阅资料才发现干扰者的水平和本人不分伯仲,完全是依赖神经技术提供的攻击漏洞,并非声学专家,同时本人打印机也遭到的信号、路由器、笔记本电脑伤害导致的工作不正常。
在查阅的资料看,这个完全属于一种低级概念性模糊,声音无法通过“刚性界面”从声速和密度较低的介质向声速和密度较高的介质传播,被称为“第二边界条件”;相反是可以传播的,被称为“压力释放边界条件,第一类边界条件”。
也就是说空气透过墙体或者车体进入另外一个房间传入对方耳朵是不太可能的,相反从墙体或者车体传向外部空气是有可能的。那么也就是说居家听到的声音应该只能源自与邻居的单层隔墙振动,车内听到声音源于车的密封不良。那么对于车内听到的高强度声音干扰,因源自车内,本人近些年多次报案和维修厂查找未果,后续将继续查找,可能是相关黑客入侵。如果室外也能听到,则属于另外的声源,其可能采用通过振动墙体或者车体的办法传声,也可能开窗传声。

留下评论